Nota Técnica 2016.003 - Atualização NCM


Foi publicado Nota Técnica 2016.003 v.3.00 referente a nova tabela de códigos de NCM com efeitos a partir de 01 de abril de 2022. Nesta versão serão incluídos 537 (quinhentos e trinta e sete) NCM publicada no Portal Nacional da NF-e com início de vigência em 01 de abril de 2022 e, em contrapartida, serão excluídos 441 (quatrocentos e quarenta e um) com data fim de vigência em 31 de março de 2022.


Início da Vigência da NT:


Cliente poderá atualizar acessando Parâmetros > Configuração Tributária, aba NCM, sub-aba Consulta NCM conforme abaixo:

Versão do Sistema 205.200




Atualmente este processo é feito pelo Softautorun, contudo o cliente pode realizar manualmente clicando Consulta Portal caso desejar.


No Sistema do Linx Softpharma a atualização do NCM no cadastro do produto é realizado de duas formas apenas:

1 - Manual: Setando diretamente no cadastrado da tributação do Item (PAR170).

  • Produto a Produto individualmente.


2 - Automática: Pelo programa do Gestor Tributário.

  • Produto a Produto.
  • Gestor Tributário em Lote.


A consulta portal buscará todos os NCMs vigentes e atualizar no Sistema Linx Softpharma, sendo assim, pode ocasionar uma certa lentidão.



Foi também criado uma tela de Consulta NCM conforme abaixo:



Nesta tela pode ser pesquisado por NCM, inicio ou Fim da vigência assim poderá acompanhar quais são os NCMs que tiveram fim da vigência, por exemplo, em 31/03/2022 e pode pesquisar também quais são os NCMs que tiveram início em 01/04/2022 .

Tem também a opção do EXPORTAR podendo ser a opção EXPORTAR TODOS OS NCMs que carregará todos os NCMs que existem atualmente no sistema ou simplesmente EXPORTAR NCM EM TELA que vai exportar os NCMs que foram carregados no GRID apenas. Todos esses exportar são em formatos CSV (Excel).




A exportação em CSV pode ser usada para confrontar com os NCMs existentes e validar se todos estão atualizados conforme a tabela de NCMs vigente.



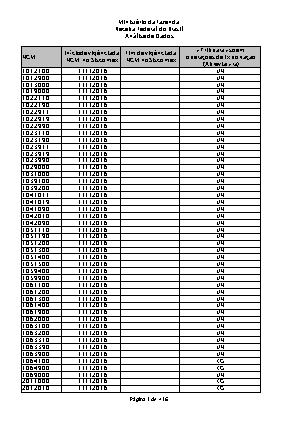
Listagem dos NCMS


Segue abaixo, a listagem dos NCMs que entrará em vigor com início de vigência em   e também os NCMs com o fim de vigência em  



Pode ser verificada no Portal Nacional da NF-e www.nfe.fazenda.gov.br, aba “Documentos”, opção “Diversos” o nome Tabela de NCM e respectiva uTrib(Comércio Exterior) - Vigente a partir de 01/04/2022



Nota Técnica 2021.004 - Grupo Medicamento.


Nesta NT o ponto que destacaremos aqui é 2.2.1. Criação da Regra de Validação K01-10 que é a validação sobre o GRUPO MED, ou seja, grupo de medicamento no XML. No texto da NT traz a seguinte instrução: 
2.2.1. Criação da Regra de Validação K01-10 Regra de validação para obrigar o preenchimento do grupo de medicamento (campo: med.) quando o código NCM do produto for de medicamento (NCMs que começam com 3001, 3002, 3003, 3004, 3005 e 3006).

Em resumo, significa que a SEFAZ irá validar o contribuinte ao emitir o XML, trata-se da emissão de NF-e geralmente, que se o NCM que está sendo emitido, conforme os NCMs citados 3001 a 3006 se NÃO TIVEREM o grupo medicamento informado haverá rejeição caso não tenha essa informação.


Início da Vigência da NT 

Versão do Sistema: 205.200

Neste momento a SEFAZ olhará para os modelos 55 (NF-e), mas nada impede de vir algo para NFC-e (65). Como será exigido apenas para modelo 55, isso terá impacto em transferência entre filiais, Perda de Mercadoria, Entrada por balanço confronto, devolução e assim sucessivamente, então é preciso ficar atento a isso.


A SEFAZ incluiu esta rejeição 840 - Rejeição: NCM de medicamento e não informado o grupo de medicamento (med) [nItem:nnn, contudo está rejeição é FACULTATIVA conforme a critério da UF, ou seja, pode ou não ser Ativado pela sua UF!


A informação de lote e grupo de medicamento vem da nota fiscal de entrada de mercadoria, ou seja, do seu fornecedor. Neste caso é importante cuidar as entradas de mercadoria sobre os produtos das notas que tem este NCM.



Exemplo do Grupo de medicamento no XML abaixo:



No Linx Softpharma só é emitido o grupo MED se o produto tiver Lote e vencimento no cadastrado do produto também, juntamente com o Registro da Anvisa



Parametrizando os NCMs da Nota Técnica 2021.004



Cliente acessará parâmetros > Configuração Tributária, aba NCM, sub-aba Registro MS Anvisa. No caso o sistema Linx Softpharma carregará uma carga inicial dos NCM citados pela NT 2021.004. 






Quando parametrizado os NCMs no sistema começará uma validação interna em dois programas: 


  • Divergência Tributária (PAR175) - Para saber mais deste programa criamos uma página sobre este programa. Para ter mais informação acesse o Link https://share.linx.com.br/x/ZQP2E

  • Importar e Faturar (IMP400) - Importação de Nota Fiscal de entrada de mercadoria.



A opção Listagem de UF é referente a parametrização para bloqueios na hora da emissão de NF-e, conforme os NCMs citados pela NT e relacionados na configuração tributária. Está segunda fase do bloqueio da emissão da NF-e será implementada em outra versão do Linx Softpharma.


Divergência Tributária - Registro MS Anvisa X NCM (PAR175) 


Esta nova funcionalidade está disponível na versão 205.200 do Linx Softpharma. A divergência do Registro MS Anvisa x NCM é uma nova tratativa que foi publicada pela NT 2021.004 versão 1.10 sobre a criação da Regra de Validação K01-10 - Regra de validação para obrigar o preenchimento do grupo de medicamento (campo: med) quando o código NCM do produto for de medicamento (NCMs que começam com 3001, 3002, 3003, 3004, 3005 e 3006). 






Importar e Faturar (IMP401) 


Foram realizados ajustes também na tela do Importar e Faturar para ajudar na identificação dos produtos com NCMs iniciados em 3001 a 3006 citados na Nota Técnica 2021.004. 

Ao importar uma Nota Fiscal de entrada de mercadoria o sistema realizará alguns confrontos e gerar uma pendência informativa para o usuário que estiver dando entrada na nota, mostrando que aqueles produtos cujos NCMs foram parametrizados na tela da Configuração Tributária (PAR113).




O confronto realizado por esta pendência será conforme os NCMs parametrizados no PAR113 e nos cadastros dos produtos (EST105) do cliente. O sistema não olhará para o produto do XML do Fornecedor e sim o vínculo que o cliente relacionou os produtos do fornecedor com os seus cadastros internos.


A pendência pode ser liberar, pois, agora é apenas informativa para o cliente, de modo a começar a ficar atento as notas fiscais do seu fornecedor.
A ideia é que comecem a ser observado os produtos das notas fiscais e levarem este questionamento para os Fornecedores, se o sistema dele já está se preparando para está Nota Técnica 2021.004 do grupo de medicamento.